고려대학교 김성범 교수님의 확률/통계 강의와 교재 'Sheldon Ross, A First Course in Probability (10th edition)' 를 공부하고 정리한 내용입니다.

음이항 분포(Negative Binomial Distribution)
음이항 분포는 기하 분포의 확장된 형태입니다.
성공 확률이 p인 베르누이 시행을 k번 성공할 때 까지 반복하여 발생하는 확률들의 패턴이 음이항 분포입니다.
확률 변수 X는 k번 성공을 하기 위해 시행하는 횟수로 정의됩니다.
확률질량함수는 다음과 같습니다.

n-1번 시행까지 r-1번 성공, n-r번 실패가 발생하고 n번째에 성공하는 확률을 나타냅니다.
예시
5번째 시행에서 3번째 성공이 나타날 확률을 구하는 문제입니다.
5번째 시행에서 3번째 성공이 나타나려면 4번째 시행까지 2번의 성공과 2번의 실패가 발생해야 하고, 5번째 시행때 3번째 성공이 타나나야 합니다.
이는 다음의 확률질량함수로 정의할 수 있습니다.

음이항 분포의 모수
음이항 분포의 모수는 r와 p입니다.
r은 성공 횟수, p는 성공 확률 입니다.
만약 r이 1이면, 기하 분포가 됩니다.
모수에 따라 확률분포의 모양이 결정됩니다.

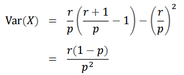
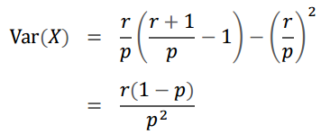
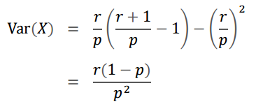
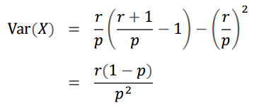
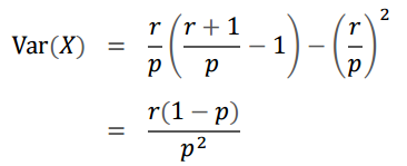
음이항 분포의 기대값과 분산
기대값과 분산은 모수의 함수입니다.
음이항 분포의 기대값과 분산은 다음과 같이 정의됩니다.


음이항 분포 예시 문제
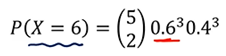
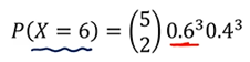
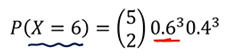
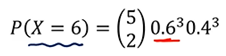
회사는 3명의 신입을 뽑으려고 합니다. 면접을 합격할 확률은 0.6 입니다. X는 면접을 봐야할 지원자들의 총 수 입니다.
(1) 6명이 면접을 볼 확률은 어떻게 될까요?

(2) 화사의 예산이 6명의 지원자만 면접을 볼 수 있습니다. 예산이 충분할 확률은 어떻게 될까요?

'수학 > 확률론' 카테고리의 다른 글
| [확률론] 연속형 확률 분포 - 일양 분포(uniform distribution) (0) | 2021.03.04 |
|---|---|
| [확률론] 이산형 확률분포 - 초기하 분포 (1) | 2021.02.14 |
| [확률론] 이산형 확률분포 - 기하분포 (2) | 2021.02.12 |
| [확률론] 이산형 확률분포 - 포아송 분포 (0) | 2021.02.10 |
| [확률론] 이산형 확률분포 - 이항분포 (0) | 2021.02.08 |